Automated Dataset Overview#

Open In Colab Open In SageMaker Studio Lab

In this section we explore automated dataset overview functionality. This feature allows you to easily get a high-level understanding of datasets, including information about the number of rows and columns, the data types of each column, and basic statistical information such as min/max values, mean, quartiles, and standard deviation. This functionality can be a valuable tool for quickly identifying potential issues or areas of interest in your dataset before diving deeper into your analysis.

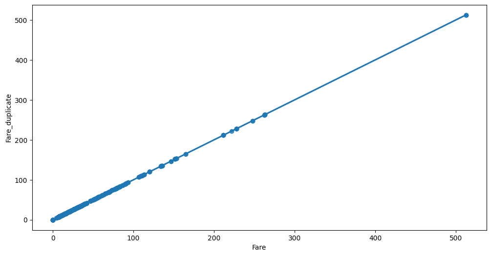
Additionally, this feature also provides graphical representations of distances between features to highlight features that can be either simplified or completely removed. For each detected near-duplicate group, it plots interaction charts so it can be inspected visually.

Example#

We will start with getting the titanic dataset and performing a quick one-line overview to get the information.

import pandas as pd

df_train = pd.read_csv('https://autogluon.s3.amazonaws.com/datasets/titanic/train.csv')
df_test = pd.read_csv('https://autogluon.s3.amazonaws.com/datasets/titanic/test.csv')
target_col = 'Survived'

To showcase near duplicates detection functionality, let’s add a duplicated column:

df_train['Fare_duplicate'] = df_train['Fare']
df_test['Fare_duplicate'] = df_test['Fare']

The report consists of multiple parts: statistical information overview enriched with feature types detection and missing value counts.

The last chart is a feature distance. It measures the similarity between features in a dataset. For example, if two variables are almost identical, their feature distance will be small. Understanding feature distance is useful in feature selection, where it can be used to identify which variables are redundant and should be considered for removal. To perform the analysis, we need just one line:

import autogluon.eda.auto as auto

auto.dataset_overview(train_data=df_train, test_data=df_test, label=target_col)

train_data dataset summary

count unique top freq mean std min 25% 50% 75% max dtypes missing_count missing_ratio raw_type variable_type special_types
Age 714 88 29.699118 14.526497 0.42 20.125 28.0 38.0 80.0 float64 177 0.198653 float numeric
Cabin 204 147 B96 B98 4 object 687 0.771044 object category
Embarked 889 3 S 644 object 2 0.002245 object category
Fare 891 248 32.204208 49.693429 0.0 7.9104 14.4542 31.0 512.3292 float64 float numeric
Fare_duplicate 891 248 32.204208 49.693429 0.0 7.9104 14.4542 31.0 512.3292 float64 float numeric
Name 891 891 Braund, Mr. Owen Harris 1 object object category text
Parch 891 7 0.381594 0.806057 0.0 0.0 0.0 0.0 6.0 int64 int category
PassengerId 891 891 446.0 257.353842 1.0 223.5 446.0 668.5 891.0 int64 int numeric
Pclass 891 3 2.308642 0.836071 1.0 2.0 3.0 3.0 3.0 int64 int category
Sex 891 2 male 577 object object category
SibSp 891 7 0.523008 1.102743 0.0 0.0 0.0 1.0 8.0 int64 int category
Survived 891 2 0.383838 0.486592 0.0 0.0 0.0 1.0 1.0 int64 int category
Ticket 891 681 347082 7 object object category

test_data dataset summary

count unique top freq mean std min 25% 50% 75% max dtypes missing_count missing_ratio raw_type variable_type special_types
Age 332 79 30.27259 14.181209 0.17 21.0 27.0 39.0 76.0 float64 86 0.205742 float numeric
Cabin 91 76 B57 B59 B63 B66 3 object 327 0.782297 object category
Embarked 418 3 S 270 object object category
Fare 417 169 35.627188 55.907576 0.0 7.8958 14.4542 31.5 512.3292 float64 1 0.002392 float numeric
Fare_duplicate 417 169 35.627188 55.907576 0.0 7.8958 14.4542 31.5 512.3292 float64 1 0.002392 float numeric
Name 418 418 Kelly, Mr. James 1 object object category text
Parch 418 8 0.392344 0.981429 0.0 0.0 0.0 0.0 9.0 int64 int category
PassengerId 418 418 1100.5 120.810458 892.0 996.25 1100.5 1204.75 1309.0 int64 int numeric
Pclass 418 3 2.26555 0.841838 1.0 1.0 3.0 3.0 3.0 int64 int category
Sex 418 2 male 266 object object category
SibSp 418 7 0.447368 0.89676 0.0 0.0 0.0 1.0 8.0 int64 int category
Ticket 418 363 PC 17608 5 object object category

Types warnings summary

train_data test_data warnings
Survived int -- warning

Feature Distance

../../_images/1d4062b278fc129b666cb2297968940c526270bd387adf29556c36375e6447ed.png

The following feature groups are considered as near-duplicates:

Distance threshold: <= 0.01. Consider keeping only some of the columns within each group:

  • Fare, Fare_duplicate - distance 0.00

Feature interaction between Fare/Fare_duplicate

../../_images/228ab2b619d72e8eb97bb71bda561050b7899585f91e36054ebfbcc6f6f547af.png