Feature Interaction Charting#

Open In Colab Open In SageMaker Studio Lab

This tool is made for quick interactions visualization between variables in a dataset. User can specify the variables to be plotted on the x, y and hue (color) parameters. The tool automatically picks chart type to render based on the detected variable types and renders 1/2/3-way interactions.

This feature can be useful in exploring patterns, trends, and outliers and potentially identify good predictors for the task.

Using Interaction Charts for Missing Values Filling#

Let’s load the titanic dataset:

import pandas as pd

df_train = pd.read_csv('https://autogluon.s3.amazonaws.com/datasets/titanic/train.csv')
df_test = pd.read_csv('https://autogluon.s3.amazonaws.com/datasets/titanic/test.csv')
target_col = 'Survived'

Next we will look at missing data in the variables:

import autogluon.eda.auto as auto

auto.missing_values_analysis(train_data=df_train)

Missing Values Analysis

missing_count missing_ratio
Age 177 0.198653
Cabin 687 0.771044
Embarked 2 0.002245
../../_images/07a0159c7dfeaf7a8104387601c17967a4f8a3508c8e36bf567dc2463ced398a.png

It looks like there are only two null values in the Embarked feature. Let’s see what those two null values are:

df_train[df_train.Embarked.isna()]
PassengerId Survived Pclass Name Sex Age SibSp Parch Ticket Fare Cabin Embarked
61 62 1 1 Icard, Miss. Amelie female 38.0 0 0 113572 80.0 B28 NaN
829 830 1 1 Stone, Mrs. George Nelson (Martha Evelyn) female 62.0 0 0 113572 80.0 B28 NaN

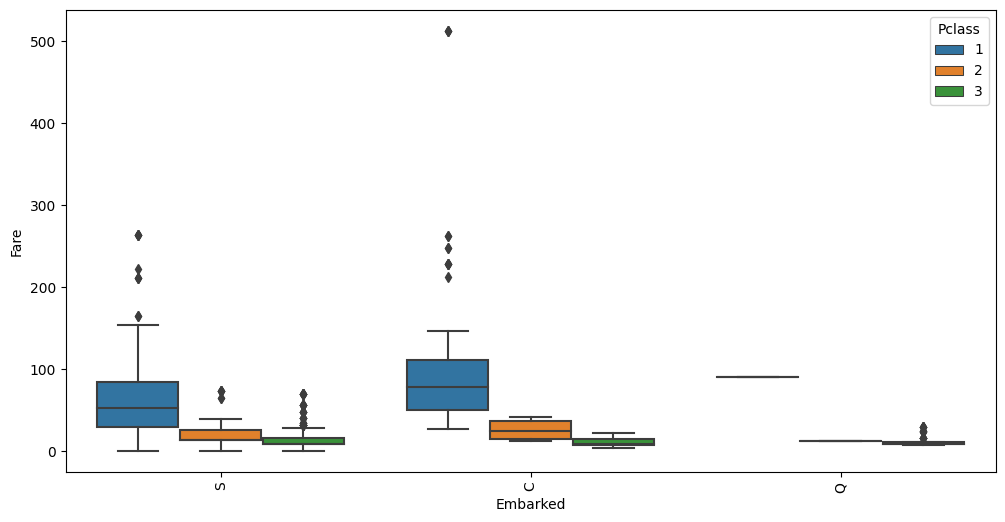
We may be able to fill these by looking at other independent variables. Both passengers paid a Fare of $80, are of Pclass 1 and female Sex. Let’s see how the Fare is distributed among all Pclass and Embarked feature values:

auto.analyze_interaction(train_data=df_train, x='Embarked', y='Fare', hue='Pclass')
../../_images/01da3cee2cf0671d3bf1ad889086768d3ae17d887c29668587828c434d654e46.png

The average Fare closest to $80 are in the C Embarked values where Pclass is 1. Let’s fill in the missing values as C.

Using Interaction Charts To Learn Information About the Data#

state = auto.partial_dependence_plots(df_train, label='Survived', return_state=True)
No path specified. Models will be saved in: "AutogluonModels/ag-20230330_055123/"

Partial Dependence Plots

Individual Conditional Expectation (ICE) plots complement Partial Dependence Plots (PDP) by showing the relationship between a feature and the model’s output for each individual instance in the dataset. ICE lines (blue) can be overlaid on PDPs (red) to provide a more detailed view of how the model behaves for specific instances. Here are some points on how to interpret PDPs with ICE lines:

  • Central tendency: The PDP line represents the average prediction for different values of the feature of interest. Look for the overall trend of the PDP line to understand the average effect of the feature on the model’s output.

  • Variability: The ICE lines represent the predicted outcomes for individual instances as the feature of interest changes. Examine the spread of ICE lines around the PDP line to understand the variability in predictions for different instances.

  • Non-linear relationships: Look for any non-linear patterns in the PDP and ICE lines. This may indicate that the model captures a non-linear relationship between the feature and the model’s output.

  • Heterogeneity: Check for instances where ICE lines have widely varying slopes, indicating different relationships between the feature and the model’s output for individual instances. This may suggest interactions between the feature of interest and other features.

  • Outliers: Look for any ICE lines that are very different from the majority of the lines. This may indicate potential outliers or instances that have unique relationships with the feature of interest.

  • Confidence intervals: If available, examine the confidence intervals around the PDP line. Wider intervals may indicate a less certain relationship between the feature and the model’s output, while narrower intervals suggest a more robust relationship.

  • Interactions: By comparing PDPs and ICE plots for different features, you may detect potential interactions between features. If the ICE lines change significantly when comparing two features, this might suggest an interaction effect.

../../_images/be6439cf3970eab19dbb5c7813ad561d5cfd7df962de268519389e0dd398560f.png

The following variable(s) are categorical: Ticket, Cabin, Embarked. They are represented as the numbers in the figures above. Mappings are available in state.pdp_id_to_category_mappings. Thestate can be returned from this call via adding return_state=True.

A few observations can be made from the charts above:

  • Sex feature has a very strong impact on the prediction result

  • Parch has almost no impact on the outcome except when it is 0 or 1 - this is a candidate for clipping

  • Fare and Age: both have a non-linear relationship with the outcome; Fare has two modes (density of blue lines) - these are good candidates to explore for feature interaction with other properties

Let’s take a look at the two-way partial dependence plots to visualize any potential interactions between the two features. Here are some cases when it’s a good idea to use two-way PDP:

  • Suspected interactions: Even if two features are not highly correlated, they may still interact in the context of the model. If you suspect that there might be interactions between any two features, two-way PDP can help to verify the hypotheses.

  • Moderate to high correlation: If two features have a moderate to high correlation, a two-way PDP can show how the combined effect of these features influences the model’s predictions. In this case, the plot can help reveal whether the relationship between the features is additive, multiplicative, or more complex.

  • Complementary features: If two features provide complementary information, a two-way PDP can help illustrate how the joint effect of these features impacts the model’s predictions. For example, if one feature measures the length of an object and another measures its width, a two-way PDP could show how the area affects the predicted outcome.

  • Domain knowledge: If domain knowledge suggests that the relationship between two features might be important for the model’s output, a two-way PDP can help to explore and validate these hypotheses.

  • Feature importance: If feature importance analysis ranks both features high in the leaderboard, it might be beneficial to examine their joint effect on the model’s predictions.

auto.partial_dependence_plots(df_train, label='Survived', features=['Fare', 'Age'], two_way=True)
No path specified. Models will be saved in: "AutogluonModels/ag-20230330_055136/"

Two-way Partial Dependence Plots

Two-Way partial dependence plots (PDP) are useful for visualizing the relationship between a pair of features and the predicted outcome in a machine learning model. There are several things to look for when exploring the two-way plot:

  • Shape of the interaction: Look at the shape of the plot to understand the nature of the interaction. It could be linear, non-linear, or more complex.

  • Feature value range: Observe the range of the feature values on both axes to understand the domain of the interaction. This can help you identify whether the model is making predictions within reasonable bounds or if there are extrapolations beyond the training data.

  • Areas of high uncertainty: Look for areas in the plot where the predictions are less certain, which may be indicated by larger confidence intervals, higher variance, or fewer data points. These areas may require further investigation or additional data.

  • Outliers and anomalies: Check for any outliers or anomalies in the plot that may indicate issues with the model or the data. These could be regions of the plot with unexpected patterns or values that do not align with the overall trend.

  • Sensitivity to feature values: Assess how sensitive the predicted outcome is to changes in the feature values.

../../_images/dbc5f4c3e712b9302b6645da5a1583eed686263fcf77a6687f099736ae567986.png

We can see these two features interact in the bottom left quadrant of the chart, but have almost no effect on each other in other areas. Areas where Age < 45 and Fare < 60 can be explored further.

Let’s take a look interactions between the features with the highest importance. To do this, we’ll fit a quick model:

state = auto.quick_fit(train_data=df_train, label='Survived', render_analysis=False, return_state=True)
No path specified. Models will be saved in: "AutogluonModels/ag-20230330_055212/"
state.model_evaluation.importance
importance stddev p_value n p99_high p99_low
Sex 0.112687 0.013033 0.000021 5 0.139522 0.085851
Name 0.055970 0.009140 0.000082 5 0.074789 0.037151
SibSp 0.026119 0.010554 0.002605 5 0.047850 0.004389
Fare 0.012687 0.009730 0.021720 5 0.032721 -0.007348
Embarked 0.011194 0.006981 0.011525 5 0.025567 -0.003179
Age 0.010448 0.003122 0.000853 5 0.016876 0.004020
PassengerId 0.008955 0.005659 0.012022 5 0.020607 -0.002696
Cabin 0.002985 0.006675 0.186950 5 0.016729 -0.010758
Pclass 0.002239 0.005659 0.213159 5 0.013890 -0.009413
Parch 0.001493 0.002044 0.088904 5 0.005701 -0.002716
Ticket 0.000000 0.000000 0.500000 5 0.000000 0.000000
auto.partial_dependence_plots(df_train, label='Survived', features=['Fare', 'SibSp'], two_way=True, show_help_text=False)
No path specified. Models will be saved in: "AutogluonModels/ag-20230330_055213/"

Two-way Partial Dependence Plots

../../_images/9453d01376bb68c15b491c439405e3f949597e1b25d8c2ce8acd8ea804111a00.png

On this chart we see the features don’t interact at all when SibSp > 3 (Number of Siblings/Spouses Aboard), but they do have non-linear interaction for smaller groups. Those who were traveling in smaller groups had higher chances to escape. Those chances were even higher if the Fare paid was higher.

Let’s analyze other variables higlighted above.

auto.analyze_interaction(x='Parch', hue='Survived', train_data=df_train)
../../_images/c8a191a2f953ed9ef156a217f7fe970ec1d055321872f9dde1869ca6a7ed652f.png
auto.analyze_interaction(x='Pclass', y='Survived', train_data=df_train, test_data=df_test)
../../_images/dfab5b2627cd756049fd5e4d79ce1ce32152eaf3b41bf72b8b00abbbf3a658f6.png

It looks like 63% of first class passengers survived, while; 48% of second class and only 24% of third class passengers survived. Similar information is visible via Fare variable:

Fare and Age features exploration#

Because PDP plots hinted non-linear interaction in these two variables, let’s take a closer look and visualize them individually and in jointly.

auto.analyze_interaction(x='Fare', hue='Survived', train_data=df_train, test_data=df_test, chart_args=dict(fill=True))
../../_images/583b8adfba690410f93a57d22a3608d97a203b368e0898ed7bf2559b7add38a2.png
auto.analyze_interaction(x='Age', hue='Survived', train_data=df_train, test_data=df_test)
../../_images/bea7a13f61efafe9651fc2707723dad882c6d268add6c4d62d173c7621628482.png

The very left part of the distribution on this chart possibly hints that children and infants were the priority.

auto.analyze_interaction(x='Fare', y='Age', hue='Survived', train_data=df_train, test_data=df_test)
../../_images/010a64c0ef739322b62b502aa8f626d1586fee1152351ff9f653dd6e1c7fc612.png

This chart highlights three outliers with a Fare of over $500. Let’s take a look at these:

df_train[df_train.Fare > 400]
PassengerId Survived Pclass Name Sex Age SibSp Parch Ticket Fare Cabin Embarked
258 259 1 1 Ward, Miss. Anna female 35.0 0 0 PC 17755 512.3292 NaN C
679 680 1 1 Cardeza, Mr. Thomas Drake Martinez male 36.0 0 1 PC 17755 512.3292 B51 B53 B55 C
737 738 1 1 Lesurer, Mr. Gustave J male 35.0 0 0 PC 17755 512.3292 B101 C

As you can see all 4 passengers share the same ticket. Per-person fare would be 1/4 of this value. Looks like we can add a new feature to the dataset fare per person; also this allows us to see if some passengers travelled in larger groups. Let’s create two new features and take at the Fare-Age relationship once again.

ticket_to_count = df_train.groupby(by='Ticket')['Embarked'].count().to_dict()
data = df_train.copy()
data['GroupSize'] = data.Ticket.map(ticket_to_count)
data['FarePerPerson'] = data.Fare / data.GroupSize

auto.analyze_interaction(x='FarePerPerson', y='Age', hue='Survived', train_data=data)
auto.analyze_interaction(x='FarePerPerson', y='Age', hue='Pclass', train_data=data)
../../_images/f083596b56572c615c7b3c9f26a43c48b1c7fad0c446f63e3da18c755b81ea16.png ../../_images/1befc4e9be45164c79367e830e7e346947d3da823bfb61604305dd223ac88789.png

You can see cleaner separation between Fare, Pclass and Survived now.