Automated Target Variable Analysis#

Open In Colab Open In SageMaker Studio Lab

In this section we explore automated dataset overview functionality.

Automated target variable analysis aims to automatically analyze and summarize the variable we are trying to predict (label). The goal of this analysis is to take a deeper look into target variable structure and its relationship with other important variables in the dataset.

To simplify discovery of outliers and useful patterns, this functionality introduces components which allow generating descriptive statistics and visualizing the target distribution and relationships between the target variable and other variables in the dataset.

Classification Example#

We will start with getting the titanic dataset and performing a quick one-line overview to get the information.

import pandas as pd

df_train = pd.read_csv('https://autogluon.s3.amazonaws.com/datasets/titanic/train.csv')
df_test = pd.read_csv('https://autogluon.s3.amazonaws.com/datasets/titanic/test.csv')
target_col = 'Survived'

The report consists of multiple parts: statistical information overview enriched with feature types detection and missing value counts focused only on the target variable.

Label Insights will highlight dataset features which require attention (i.e. class imbalance or out-of-domain data in test dataset).

The next component is feature distribution visualization. This is helpful for choosing data transformations and/or model selection. For regression tasks, the framework automatically fits multiple distributions available in scipy. The distributions with the best fit will be displayed on the chart. Distributions information will be displayed below the chart.

Next, the report will provide correlation analysis focusing only on highly-correlated features and visualization of their relationships with the target.

To perform the analysis, we need just one line:

import autogluon.eda.auto as auto

auto.target_analysis(train_data=df_train, label=target_col)

Target variable analysis

count mean std min 25% 50% 75% max dtypes unique missing_count missing_ratio raw_type special_types
Survived 891 0.383838 0.486592 0.0 0.0 0.0 1.0 1.0 int64 2 int
../../_images/8a3084683c92710de429bd6d45143f82f05f59da7d30be7c8b237b5b097b6cee.png

Target variable correlations

train_data - spearman correlation matrix; focus: absolute correlation for Survived >= 0.5

../../_images/ad987072e980b02a9176d17a633b6b98c4509dd0e4fe1b02f3e0a5c6be3e2445.png

Feature interaction between Sex/Survived in train_data

../../_images/f43566b353107165c87b99040c790c1529cc148e5e6c257486e80d9d9e21966d.png

Regression Example#

In the previous section we tried a classification example. Let’s try a regression. It has a few differences.

df_train = pd.read_csv('https://autogluon.s3.amazonaws.com/datasets/AmesHousingPriceRegression/train_data.csv')
df_test = pd.read_csv('https://autogluon.s3.amazonaws.com/datasets/AmesHousingPriceRegression/test_data.csv')
target_col = 'SalePrice'

auto.target_analysis(
    train_data=df_train, label=target_col, 
    # Optional; default will try to fit all available distributions
    fit_distributions=['laplace_asymmetric', 'johnsonsu', 'exponnorm']  
)

Target variable analysis

count mean std min 25% 50% 75% max dtypes unique missing_count missing_ratio raw_type special_types
SalePrice 2344 181794.673635 82035.556894 12789.0 129000.0 160500.0 214000.0 755000.0 int64 918 int
../../_images/ce762b7bd32a7739a43e8191924705839c0b073a668d2accebde1dcbd96ec1c7.png

Distribution fits for target variable

  • laplace_asymmetric

    • p-value: 0.784

    • Parameters: (kappa: 0.5531863345530886, loc: 127499.99999894513, scale: 43285.69671350392)

  • johnsonsu

    • p-value: 0.120

    • Parameters: (a: -1.4433009164353976, b: 1.3922853595685476, loc: 97854.76437964055, scale: 52770.348354810485)

  • exponnorm

    • p-value: 0.063

    • Parameters: (K: 2.62854289075631, loc: 107181.37845979724, scale: 28385.801254782047)

Target variable correlations

train_data - spearman correlation matrix; focus: absolute correlation for SalePrice >= 0.5

../../_images/83ce4a09915aaa2656e178eaddc02eced9b2e1784b093b0395cf75dd876c5721.png

Feature interaction between Overall.Qual/SalePrice in train_data

../../_images/ee8e524f000dc7cbf92ebcd9fa418fb905c5410264ae1ada06f0a596e483e844.png

Feature interaction between Gr.Liv.Area/SalePrice in train_data

../../_images/9d8980bd926734482c24c9056fc7cace9a48a1ac7058021bfda6216ef0f97257.png

Feature interaction between Garage.Cars/SalePrice in train_data

../../_images/a8cd81257839c57b9bcdcb1a5c0944d9710607a6964ab23a7e599b6bf8fb0bf8.png

Feature interaction between Year.Built/SalePrice in train_data

../../_images/a84e9e635d6d22f41ad6c27ab53b16e121488b49be443512e12e4cd39eda9ddc.png

Feature interaction between Garage.Area/SalePrice in train_data

../../_images/c841a6c0e07f8615ea89734fb63dd54c53a3a255dbde7788cf7ac18a5af1e435.png

Feature interaction between Garage.Yr.Blt/SalePrice in train_data

../../_images/02d7396b71a85c4595bd3c9aa75da65401006c32ccfc2b7cf70978aeec3d8270.png

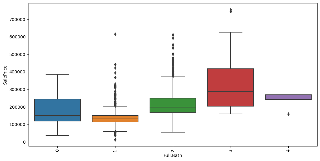
Feature interaction between Full.Bath/SalePrice in train_data

../../_images/9818e63e6fb500120bc301d93770ea2d5ffa90533c82803a647d353d2997cea5.png

Feature interaction between Total.Bsmt.SF/SalePrice in train_data

../../_images/25deb7ccf7db913456b4a86e8d277bf2478d943d7862dde222c40cf04487ecb7.png

Feature interaction between Year.Remod.Add/SalePrice in train_data

../../_images/466bef01c1c1bdf82c15c0e1e9aed2aa3eefbece73be36512e83f20d887a11d9.png

Feature interaction between X1st.Flr.SF/SalePrice in train_data

../../_images/6073067c89facbde46ea75450b5bb068eecb5e595ad6060c126e5c881ed9d514.png

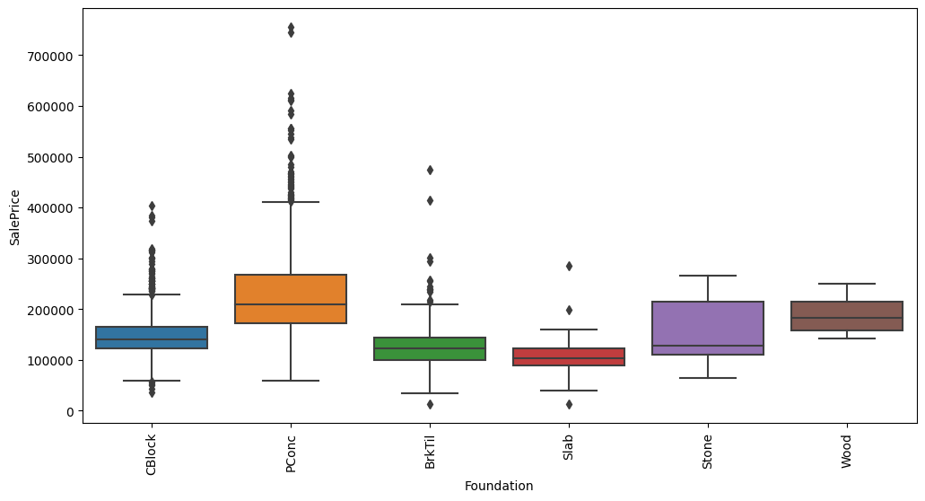
Feature interaction between Foundation/SalePrice in train_data

../../_images/bb74e6aaf0f34da828e08386872d8f2e639c2c9d5971911f5797955d1e48aa0a.png

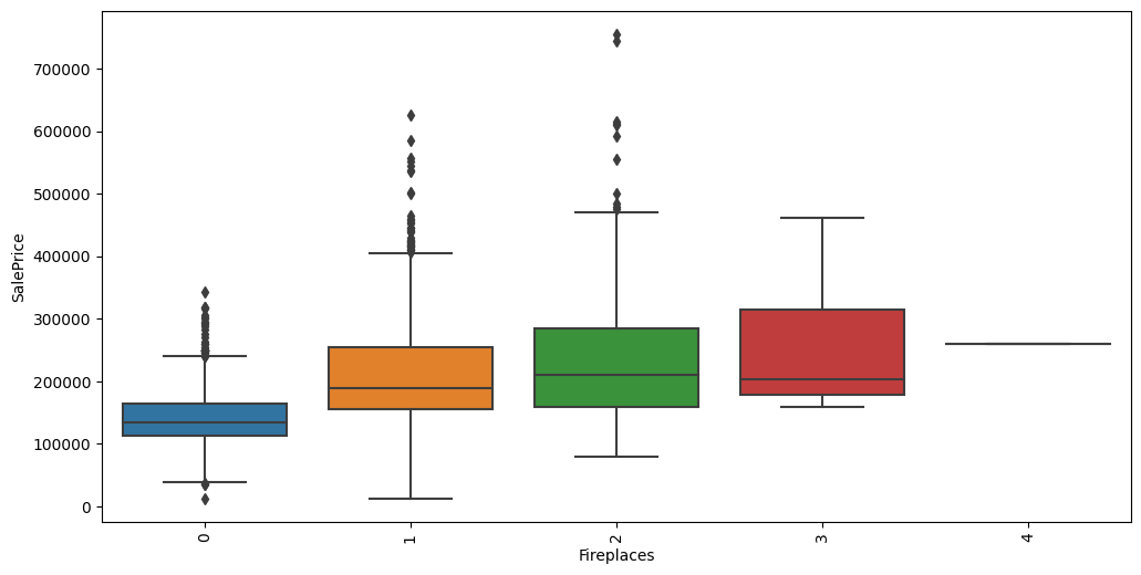
Feature interaction between Fireplaces/SalePrice in train_data

../../_images/b36303a5aba77d85a178c76eff97cb0cdf74cab3406951ffaaafda2205e316b3.png

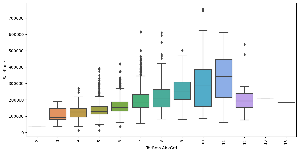
Feature interaction between TotRms.AbvGrd/SalePrice in train_data

../../_images/f3986fc068615eabfd336ce4061932588fd5fb5a54160d557f7d8496e5ae821c.png

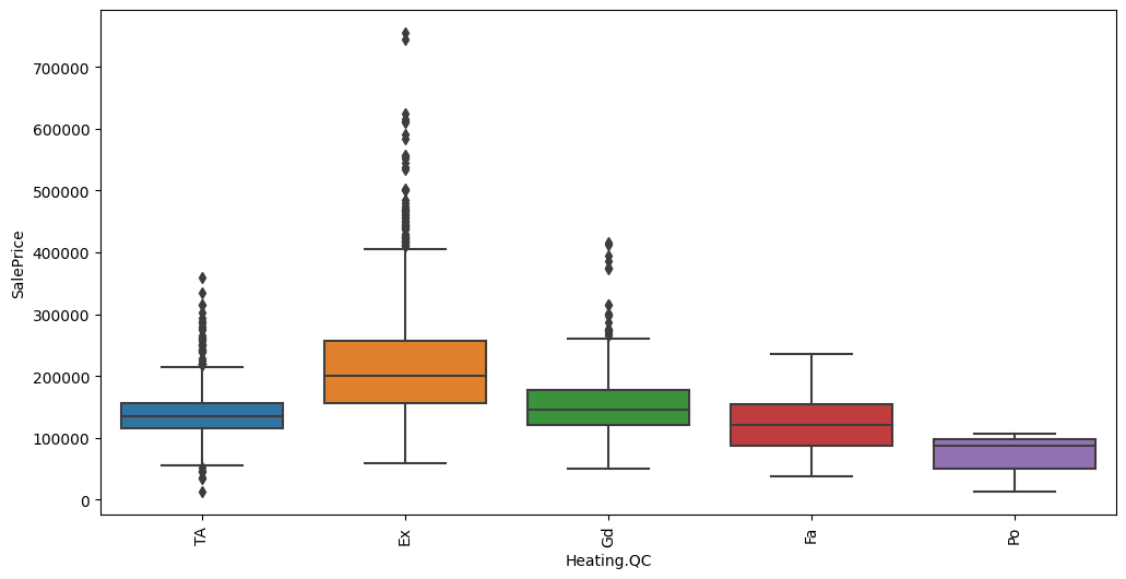
Feature interaction between Heating.QC/SalePrice in train_data

../../_images/519aa2f644b53fffbfbe882149903deded15957f3bce3517a4330d262486dd65.png

Feature interaction between Kitchen.Qual/SalePrice in train_data

../../_images/3783739e56ab8f332f7ceb2b784bf451261ab0945599a6ec6158fde2c84f79a3.png

Feature interaction between Exter.Qual/SalePrice in train_data

../../_images/cbd44d4b57866cf5debae7560f0b1375b58d58925872601c346eaec4e27a879b.png